翌圣生物科技(上海)股份有限公司品牌商

19

手机商铺

qrcode
商家活跃:
产品热度:
  • NaN
  • 0.7999999999999998
  • 1.7999999999999998
  • 0.7999999999999998
  • 3.8
TRIeasy总RNA提取试剂(Total RNA Extraction Reagent)
¥320
品牌商

翌圣生物科技(上海)股份有限公司

入驻年限:19

  • 联系人:

    翌圣生物

  • 所在地区:

    上海

  • 业务范围:

    体外诊断、耗材、技术服务、抗体、ELISA 试剂盒、细胞库 / 细胞培养、试剂

  • 经营模式:

    生产厂商

在线沟通
推荐产品

公司新闻/正文

关于抗冠状病毒新研药Remdesivir信息,看完这篇就够了

790 人阅读发布时间:2020-02-07 18:09


背景
      在中国农历新年伊始,源于中国中部省份湖北武汉新型冠状病毒所引起的肺炎疫情牵动着亿万国人的心,全国上下积极行动都在为消灭此次疫情贡献自己的力量。新型冠状病毒是以前从未在人体中发现的冠状病毒新毒株,被暂命名为2019-nCoV)

       1、冠状病毒(coronavirus)是一个大型病毒家族,已知可引起感冒以及中东呼吸综合征(MERS)和严重急性呼吸综合征(SARS)等较严重疾病。WHO(世界卫生组织)介绍,经详细调查结果显示,中国2002年发生了从果子狸传至人的SARS冠状病毒疫情沙特阿拉伯2012年发生了从单峰骆驼传至人的MERS疫情。一些已知的冠状病毒在动物中传播,但尚未感染人类,一些会引起人的呼吸道疾病。随着全球监测工作的改善,可能会发现更多冠状病毒
新闻图片1
                                          图1:新型冠状病毒2019-nCoV电镜照片(图自CDC, NPRC 2020.00002

       2,在疫情爆发后不久,1月22日,国家基因组科学数据中心正式发布2019新型冠状病毒信息库与世界卫生组织分享武汉不明原因的病毒性肺炎病例中检测到的新型冠状病毒基因序列信息。多家生物科技公司在获取序列信息后很快就在新型冠状病毒核酸检测试剂研发上获得突破,开发出新型冠状病毒 2019-nCoV核酸检测试剂盒(荧光 PCR 法)一款基于RT-PCR技术的快速检测试剂盒,翊圣生物为相关公司提供了检测试剂盒所需核心酶原料。
在确诊病例不断增加的严峻形势下,找到一款特异性的诊疗药物、或是开发出相关的抗病毒疫苗是当前一件迫在眉睫的大事。 

瑞德西韦Remdesivir)药物进展
      1月28日,中国科学院武汉病毒研究所与军事医学科学院毒物药物研究所联合发现了在细胞层面上对新型冠状病毒(2019-nCoV)有较好的抑制作用的瑞德西韦Remdesivir GS-5734)、氯喹(Chloroquine,Sigma-C6628)、利托那韦(Ritonavir)等三种“老药物”。其后续的临床试验正在走相关的程序报批。
      1月31日《新英格兰医学杂志》(NEJM)在线发表的论文(First Case of 2019 Novel Coronavirus in the United States)介绍了关于美国首例新型冠状病毒(2019-nCoV)确诊病例的诊疗情况,包括该患者发病情况、就医、治疗以及临床表现。更为重要的是论文中提到这名患者在接受了瑞德西韦Remdesivir)抗病毒药物治疗后症状出现了大幅改善,截至1月30日,该名患者仍在住院,但他已经不再发热,除咳嗽外,其他所有症状均已缓解,咳嗽的程度也正在减轻。吉利德科学公司首席医学官医学博士Merdad Parsey表示:“吉利德正在与全球卫生当局密切合作,通过适当地、实验性使用我们的研究化合物瑞德西韦Remdesivir)来应对新型冠状病毒(2019-nCoV)的爆发。”
新闻图片2
                                                                      图2:论文截屏图

       2月2日,据国家药品监督管理局药品评审中心(CDE),一项针对新型冠状病毒肺炎的药物瑞德西韦Remdesivir)的临床试验申请已获受理,瑞德西韦Remdesivir)是美国吉利德公司针对埃博拉病毒开发的一种药物,在全球均未上市,不能随便使用,要经过严格的临床试验才能验证其在新型冠状病毒的安全性和有效性。

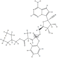
瑞德西韦Remdesivir化合物信息
        Remdesivir (CAS No. : 1809249-37-3),也称GS-5734,中文名:瑞德沙韦、伦地西韦、瑞德西韦,是一种新型的核苷酸类似物前药,是RNA依赖的RNA聚合酶(RdRp)抑制剂,可以通过抑制病毒核酸合成抗病毒。它是由美国吉利德科学公司(Gilead)开发的用于治疗线状病毒感染药,目前针对埃博拉病毒(Ebola virus)感染的临床研究进行到了II期阶段;对感染MERS(中东呼吸综合症冠状病毒)的小鼠接受这种药物联合疗法后表现要好得多,病毒复制减少,肺功能改善。在HAE细胞中,对 SARS-CoV  MERS-CoV  EC50 值为 74 nM,在延迟脑肿瘤细胞中,对鼠肝炎病毒的 EC50 值为30 nM
新闻图片3
                                                                  图3Remdesivir分子结构(图自ChemicalBook

       我国作为延续几千年的传统中医药受益者,在使用天然药物方面有着丰富经验,因此也是发现治疗此次疾病药物的重要源泉之一我们期待更多中药原创药物的的上市,少一些如同“板蓝根、双黄连”事件的发生,因此一定要相信科学、尊重科学、敬畏科学。

      武汉加油!中国加油!
参考信息:1、First Case of 2019 Novel Coronavirus in the United States 
                  
https://www.nejm.org/doi/full/10.1056/NEJMoa2001191?query=featured_home

                  2、ChemicalBook
                  https://www.chemicalbook.com/ChemicalProductProperty_CN_CB53339887.htm
                  3.中国疾病预防控制中心(CDC
                  
http://www.chinacdc.cn/jkzt/crb/zl/szkb_11803/jszl/

                  4.世界卫生组织(WHO
                  https://www.who.int/zh/home
 

上一篇

共克时艰!翊圣生物推出新型冠状病毒(2019-nCoV)核酸检测试剂盒关键原料,可直接支持IVD企业一线试剂盒组装

下一篇

干货┃TaqMan qPCR实验您至少需要了解这些!

更多资讯

我的询价