翌圣生物科技(上海)股份有限公司品牌商

19

手机商铺

qrcode
商家活跃:
产品热度:
  • NaN
  • 0.7999999999999998
  • 1.7999999999999998
  • 0.7999999999999998
  • 3.8
品牌商

翌圣生物科技(上海)股份有限公司

入驻年限:19

  • 联系人:

    翌圣生物

  • 所在地区:

    上海

  • 业务范围:

    体外诊断、耗材、技术服务、抗体、ELISA 试剂盒、细胞库 / 细胞培养、试剂

  • 经营模式:

    生产厂商

在线沟通
推荐产品

公司新闻/正文

高品质葡聚糖硫酸钠盐

834 人阅读发布时间:2020-02-26 16:55

新闻图片1
高品质葡聚糖硫酸钠盐
                                   ——物有所需,价有所值
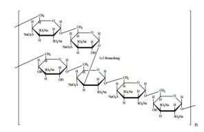
      葡聚糖硫酸钠盐(dextran sulfate sodium salt, DSS是葡聚糖的聚阴离子衍生物,由葡聚糖和chlorosulfonic acid的酯化反应形成,白色粉末,在水或盐溶液中溶解得到澄清溶液
      翊圣生物利用独特的生产工艺开发的DSS包含了分子量1,500~500,000 Da范围内的多个产品,硫含量17-20%。其中分子量为36000-50000 Da的DSS,可根据实验目的调整DSS浓度和给药时间,建立急性、慢性和急慢性交替性模型。造模操作简便,性价比高,重复性好,是国内产业中可与国外品牌相匹敌的优质产品之一。
新闻图片2 
图1 葡聚糖硫酸钠结构式

产品特点
稳定性好:聚阴离子复合物,可溶于水,形成无色溶液,形似天然粘多糖
纯度:高:高纯度(98%),硫含量17-20%
性价比高:较国外品牌可节省1/3的成本;
安全性高:DSS可被自然生态系统降解,对环境安全无害。
适用性广:可用于急慢性肠炎、肠癌等疾病模型;可作为敏感性天然成分的稳定剂;化妆品研发等
 
产品应用选择
Yeasen葡聚糖硫酸钠 肠炎模型 纳米材料 分子实验 抗病毒 抗凝血剂 去血脂 细胞增殖 多糖测定 抗凋亡
1500、3000                
5000        
10000            
15000                
20000            
36000-50000              
50000          
500000            
“√”表示满足应用需求。
体应用介绍:
1、DSS模型动物已被广泛认可,用于:
1)溃疡性结肠炎病因,发病机制的研究;
2)炎症反应中免疫学研究;
3)溃疡性结肠炎治疗,抗炎药物的研发;
4)炎症相关性的癌症形成机制的研究(AOM/DSS 模型能很好地模拟慢性肠道炎症诱发癌症的生理病理过程)。

2、选择性分离脂蛋白:
硫酸葡聚糖钠常被用于选择性分离脂蛋白。在锰离子的作用下,0.05%的硫酸葡聚糖钠(Mw 15,000)溶液能使低密度脂蛋白(LDL)和极低密度脂蛋白(VLDL)发生沉淀。当硫酸葡聚糖钠(Mw 15,000)的浓度增加到0.065%时,高密度脂蛋白(HDL)也随之发生沉淀。基于相似的原理,硫酸葡聚糖钠(Mw 500,000)同样被用于检测胆固醇中的高密度脂蛋白。
3、提高核酸杂交率:
溶液中含10%的硫酸葡聚糖钠,DNA链的再退火率约增加10倍,这一现象进一步扩大了单链或双链的探针与固定 在膜上的DNA/RNA的杂交率。不仅如此,添加10%硫酸葡聚糖钠也许会增加随机切割的双链DNA探针与固定化核酸的杂交率,高达100倍。

价格对比-高性价比产品
翊圣生产的DSS与市场上存在的不同品牌的不同分子量的产品相比较,价格更加优惠!
  新闻图片3
客户反馈数据
客户使用翊圣DSS建模成功的案例:
客户单位:某高校课题组
产品名称:葡聚糖硫酸钠盐 MW:36000~50000 (货号:60316ES25)
实验设计:小鼠急性结肠炎实验,对照组:小鼠正常饮水;处理组:小鼠饮用3-5%的DSS。1周之后观察小鼠症状。
结果分析:案例1,处理组相比较对照组,肠道出现了明显的溃疡,炎症浸润了肠道;
案例2,处理组相比较对照组,肠粘膜破坏,组织水肿充血,腺体结构损坏。总之,翊圣DSS产品建模效率好,建模症状明显,可满足课题组建模实验需求。
 
新闻图片4
图2 结肠切片HE染色急性结肠炎结果

已发表文献
Fan H, Chen W, Zhu J, et al. Toosendanin alleviates dextran sulfate sodium-induced colitis by inhibiting M1 macrophage polarization and regulating NLRP3 inflammasome and Nrf2/HO-1 signaling[J]. International immunopharmacology, 2019, 76: 105909.

订购信息
产品名称 产品编号 规格 价格(元)
Dextran sulfate Sodium Salt(DSS
结肠炎建模用葡聚糖硫酸钠盐   Mw 36000~50000
60316ES25 25g 753
60316ES60 100g 1953
60316ES76 500g 7353
60316ES80 1kg 13853
Dextran sulfate sodium salt, Mw 500,000 葡聚糖硫酸钠 60316EA25/60/76/80 25g/100g/500g/1kg 537/1537/4837/8537
Dextran sulfate sodium salt, Mw 50,000 葡聚糖硫酸钠 60316EB25/60/76/80 25g/100g/500g/1kg 2187/4387/15687/23687
Dextran sulfate sodium salt, Mw 20,000 葡聚糖硫酸钠 60316EC25/60/76/80 25g/100g/500g/1kg 2187/4387/15687/23687
Dextran sulfate sodium salt, Mw 15,000 葡聚糖硫酸钠 60316ED25/60/76/80 25g/100g/500g/1kg 2187/4387/15687/23687
Dextran sulfate sodium salt, Mw 10,000 葡聚糖硫酸钠 60316EF25/60/76/80 25g/100g/500g/1kg 2187/4387/15687/23687
Dextran sulfate sodium salt, Mw 5,000 葡聚糖硫酸钠 60316EG25/60/76/80 25g/100g/500g/1kg 2187/4387/15687/23687
Dextran sulfate sodium salt,  Mw 3,000 葡聚糖硫酸钠 60316EH25/60/76/80 25g/100g/500g/1kg 2187/4387/15687/23687
Dextran sulfate sodium salt, Mw 1,500 葡聚糖硫酸钠 60316EI25/60/76/80 25g/100g/500g/1kg 2187/4387/15687/23687

相关产品
产品名称 产品编号 规格 价格(元)
Hematoxylin and Eosin Staining Kit  苏木素伊红(H&E)染色试剂盒 60524ES60 2×100 mL 358
 
 
 
HB200219
 

上一篇

外泌体(exosome)研究整体思路

下一篇

关于新冠病毒 RT-PCR 核酸检测假阴性结果的思考

更多资讯

我的询价