19 年
手机商铺
入驻年限:19 年
翌圣生物
上海
体外诊断、耗材、技术服务、抗体、ELISA 试剂盒、细胞库 / 细胞培养、试剂
生产厂商
公司新闻/正文
351 人阅读发布时间:2024-10-29 08:39
2024年,诺贝尔生理学或医学奖授予了维克托·安布罗斯(Victor Ambros)和加里·鲁夫昆(Gary Ruvkun)这两位美国科学家,以表彰他们在微小RNA(microRNA)及其在转录后基因调控中的关键作用方面的突破性发现。这一发现揭示了基因调控的新原理,并对生物体的发育和功能有着根本性的重要作用。

安布罗斯和鲁夫昆的工作证明了microRNA在转录后基因调控中的作用,这是一种全新的基因调控机制。在此之前,科学界的焦点主要集中在转录因子如何作用于DNA,从而决定哪些mRNA被合成,进而控制遗传信息的传递。然而,这两位科学家的发现刷新了我们对基因调控的理解,揭示了microRNA在调节基因表达中的重要性。研究显示,人类基因组中编码了超过1000个独特的microRNA,这些microRNA在生物界中普遍存在,并在维持基因平衡和细胞功能方面发挥着不可或缺的作用。
microRNA是一类长度约为 22 个核苷酸的小型 RNA,大多数 miRNA 来自非编码 RNA 或内含子,很少有与编码基因外显子重叠,保守的 miRNA (即在脊椎动物中共享) 主要通过经典的 miRNA 途径生成,该途径涉及两个 RNase III 酶:Drosha 和 Dicer。
Drosha 在细胞核中剪切 pri-miRNA 的发夹结构,释放出前 miRNA (pre-miRNA)。
pre-miRNA 被转运到细胞质中,由 Dicer 在末端环附近剪切,产生 miRNA 双链。
成熟的 miRNA 一条链(miRNA*)被丢弃,另一条链(成熟 miRNA)与 Argonaute (Ago) 蛋白结合,并指导 Ago 复合物沉默互补的 RNA 目标。
除了经典的 Drosha/Dicer 途径,还存在一些非经典的 miRNA 途径,这些途径不依赖于 Drosha 或 Dicer。例如:
mirtrons: 由内含子剪接机制和内含子去分支酶生成的 pre-miRNA 类似物,从而绕过 Drosha。
tRNA-miRNA: 通过 RNase Z 的作用生成功能性 pre-miRNA。
5’-帽化的发夹结构: 由 RNA 聚合酶 II 转录,并带有 5’ 帽子,然后由 XPO1 转运到细胞质中。Dicer 只剪切带有帽子的 pre-miRNA 的 3’ 臂,从而产生成熟的 miRNA。

图.miRNA合成示意图[1]
microRNA研究涉及多个层面,从发现和验证新的microRNA分子,到理解它们的功能和机制,再到可能的治疗应用。以下是一些microRNA研究中的常见问题和相应的解决方案:
高通量测序:使用高通量测序技术(如RNA-seq)来鉴定新的microRNA分子。
生物信息学分析:利用专门的软件工具对测序数据进行处理,预测microRNA的序列和结构。
实验验证:通过Northern blotting、RT-qPCR等方法验证预测的microRNA的存在和表达水平。
功能丧失实验:通过敲减或敲除特定microRNA,观察细胞或模型生物表型的变化。
靶基因预测:使用生物信息学工具预测microRNA的靶基因,并通过实验验证这些靶基因。
报告基因系统:使用含有microRNA反应元件的报告基因系统来测试microRNA对基因表达的调控。
蛋白质组学分析:使用质谱等技术分析microRNA调控下的蛋白质表达变化。
免疫共沉淀:研究microRNA与RNA诱导沉默复合体(RISC)的相互作用。
细胞成像技术:利用荧光显微镜等观察microRNA在细胞内的分布和动态。
疾病模型:在动物模型中研究特定microRNA的缺失或过表达对疾病进展的影响。
临床样本分析:收集和分析疾病状态下microRNA的表达谱,寻找潜在的生物标志物。
药物干预:开发microRNA靶向药物,如antagomirs、miRNA mimics等,用于治疗研究。
药物设计:设计能够特异性结合和抑制或激活特定microRNA的药物。
临床前研究:在细胞和动物模型中测试药物的安全性和有效性。
临床试验:开展临床试验以评估microRNA靶向治疗的安全性和疗效。
产品推荐
目前定量分析miRNA的方法中最为常用的是荧光定量PCR。但是miRNA本身相对较小,传统的RNA提取、反转录和定量方法难以高效的保证miRNA的检测,选对适配的方法此时则显得尤为重要。
传统的有机提取通常提取的是较大分子量的RNA,例如mRNA和核糖体RNA,但对于miRNA的提取效果则不太理想,可能是由于小分子量的miRNA不易被醇类沉淀。针对这个问题,翌圣匠心研发了专门针对miRNA提取的产品-MolPure® Cell/Tissue miRNA Kit 细胞/组织miRNA提取试剂盒。
19331ES-MolPure® Cell/Tissue miRNA Kit 细胞/组织miRNA提取试剂盒

采用MolPure® RNA Column M1和microRNA Column M1以及新型的溶液体系,适用于从多种新鲜或冻存的动物组织或培养细胞中快速提取各种小RNA。试剂盒内的MolPure® RNA Column M1可选择性吸附核酸,不吸附蛋白质、多糖和其它非核酸类物质;microRNA Column M1则能从总RNA中有效富集到15-30 nt左右的小RNA(包括siRNA和miRNA)。
产品性能
成熟的miRNA的长度只有20nt左右,通常正向引物就会覆盖其全长甚至会有多余部分,反向引物就无处安置了。目前市面上解决方案就是在反转录时设法增加反转录产物长度。常见的方法有加尾法和茎环法。
加尾法利用PolyA 聚合酶为成熟的miRNA加上Poly(A)尾,以带有通用序列的Oligo-dT作为反转录引物,合成加长的miRNA对应cDNA第一链。茎环法以折叠为茎环结构的通用序列作为引物合成加长的miRNA对应cDNA第一链,后续扩增过程中,茎环结构在适宜的温度下会被打开,和相关扩增引物结合。

图. 加尾法合成miRNA

图.茎环法合成miRNA
|
类别 |
加尾法 |
茎环法 |
|
适用性 |
适合于同时研究多种不同miRNA的情况 |
适合对样本中少量几个miRNA的精确定量检测 |
|
优点 |
一次反转录可检测多个miRNA,通量高 |
一次反转录只能检测一个miRNA,特异性强 |
|
反转录体系 |
内参与miRNA一起,在同一个反应体系反转录,准确性高 |
内参与miRNA分开,在两个体系分别反转录,容易产生误差 |
|
检测特异性 |
★★★★☆ |
★★★★★ |
|
检测灵敏度 |
★★★★★ |
★★★★☆ |
|
实验时间 |
★★★★☆ |
★★★★★ |
翌圣miRNA加尾法反转定量组合(11148ES&11171ES)

11148ES-Hifair® miRNA 1st Strand cDNA Synthesis Kit
试剂盒采用加尾法来进行miRNA第一链cDNA的反转录,产品中的2×Hifair® miRNA RT buffer包含了miRNA加尾反应和反转录反应的所有原料和引物,并经过精心优化,可保证miRNA 3‘末端的Poly(A)修饰过程和反转录过程同时高效进行。

11171ES -Hieff® miRNA Universal qPCR SYBR Master Mix
专门为miRNA定量检测而研发的新一代预混形式的荧光定量PCR检测试剂,含有特殊的ROX Passive Reference Dye,适用于所有qPCR仪器,无需在不同的仪器上调整ROX的浓度,只需在配制反应体系时加入引物和模板即可进行扩增。DNA 聚合酶采用化学修饰的热启动聚合酶,配合特殊的Buffer体系,使反应特异性更好,灵敏度更高,并能在更广的范围内进行准确定量。
产品性能

图. 以293T细胞的Total RNA为模板,用Hifair® miRNA 1st Strand cDNA Synthesis Kit (Cat# 11148ES)进行反转录,获得的cDNA稀释10倍后,用Hieff® miRNA Universal qPCR SYBR Master Mix (Cat# 11171ES)分别检测hsa-miR-let-7b-5p、hsa-miR-let-7c-5p、U6内参基因。

图. 以人工合成hsa-miR-let-7e-5p(a)和293T细胞Total RNA(b)为模板,分别稀释成以下梯度:60拷贝到606拷贝(6个梯度)和10 pg-100 ng(5个梯度),用Hifair® miRNA 1st Strand cDNA Synthesis Kit (Cat# 11148ES)进行反转录,获得的cDNA用Hieff® miRNA Universal qPCR SYBR Master Mix (Cat# 11171ES)检测hsa-miR-let-7e-5p基因表达情况。

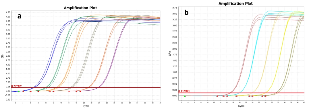
图. 人类hsa-let-7家族拥有多条miRNA,彼此间相差的碱基很少,甚至只有单碱基的差异。每个Let-7亚型(hsa-miR-let-7a~Let-7i,has-miR-98)的人工合成miRNA使用 Hifair® miRNA 1st Strand cDNA Synthesis Kit (Cat# 11148ES)进行反转录合成cDNA,以不用的引物,用Hieff® miRNA Universal qPCR SYBR Master Mix (Cat# 11171ES)分别扩增这些miRNA,利用公式2-ΔCT x 100%计算匹配率。结果显示,可有效区分密切相关的亚型家族成员。


图. 以人293T细胞和鼠源肝脏Total RNA为模板,扩增miR-let-7b-5p、miR-let-7c-5p、miR-let-7e-5p、miR-let-7f-5p基因。结果显示,与同类产品相比,Hifair® miRNA 1st Strand cDNA Synthesis Kit (Cat# 11148ES)配套 Hieff® miRNA Universal qPCR SYBR Master Mix (Cat# 11171ES)的反应体系,具有优异的表现。
翌圣miRNA茎环法反转定量组合(11139ES&11170ES)

11139ES-Hifair® III 1st Strand cDNA Synthesis Kit(gDNA digester plus)
该试剂盒基于Hifair® III Reverse Transcriptase而开发。该酶cDNA合成速度快,且热稳定性大幅度提高,可耐受高达60℃的反应温度,适合具有复杂二级结构的RNA模板的反转录。同时,该酶增强了与模板的亲和力,适合少量模板以及低拷贝基因的反转录。Hifair® III Reverse Transcriptase合成全长cDNA的能力也有了提升,可合成长达19.8 kb的cDNA。

11170ES-Hieff® miRNA Universal qPCR SYBR Master Mix
本产品是使用SYBR Green I嵌合荧光法进行miRNA定量反应的专用预混液。由于miRNA序列短,且同一家族的miRNA序列往往高度相近,故在定量时对特异性要求极高。本品基于热启动的 DNA 聚合酶,配以优化的Buffer,能够极大地减少非特异性扩增;同时,特殊的ROX Reference Dye,使得预混液适应于所有qPCR仪器,无需在不同的仪器上调整ROX浓度,只需在配制反应体系时加入引物和模板即可进行扩增。

图.以小鼠肝脏细胞的Total RNA为模板,用Hifair® III 1st Strand cDNA Synthesis Kit (gDNA digester plus)(Cat# 11139ES)进行反转录,获得的cDNA稀释40倍后,用Hieff® miRNA Universal qPCR SYBR Master Mix(Cat# 11170ES)分别扩增人源的mmu-miR-125a基因。

图.以小鼠肝脏细胞的Total RNA为模板,用Hifair® III 1st Strand cDNA Synthesis Kit (gDNA digester plus)(Cat# 11139ES)进行反转录,获得的cDNA 以10倍梯度稀释(范围10pg /μL-0.1μg /μL),扩增鼠源的mmu-miR-125a、mmu-miR-132、mmu-miR-351基因。

图. 人类hsa-let-7家族拥有多条miRNA,彼此间相差的碱基很少,甚至只有单碱基的差异。以不同的引物,使用 Hieff® miRNA Universal qPCR SYBR Master Mix(Cat# 11170ES)分别扩增这些miRNA,利用公式2^-△ct x 100%计算匹配率。

图.以人293T细胞的Total RNA为模板反转录,用Hifair® III 1st Strand cDNA Synthesis Kit (gDNA digester plus)(Cat# 11139ES)进行反转录,获得的cDNA稀释50倍,使用Hieff® miRNA Universal qPCR SYBR Master Mix(Cat# 11170ES)进行90孔平行重复实验扩增人源的hsa-let-7a基因。
相关产品列表
|
方法类型 |
实验步骤 |
产品名称 |
产品货号 |
|
miRNA转染 |
细胞转染 |
Hieff Trans® in vitro siRNA/miRNA Transfection Reagent |
40806ES |
|
miRNA提取 |
核酸提取 |
MolPure® Cell/Tissue miRNA Kit |
19331ES |
|
MolPure® Serum/Plasma miRNA Kit |
19332ES |
||
|
加尾法反转定量 |
反转录 |
Hifair® miRNA 1st Strand cDNA Synthesis Kit |
11148ES |
|
定量PCR |
Hieff® miRNA Universal qPCR SYBR Master Mix |
11171ES |
|
|
茎环法反转定量 |
反转录 |
Hifair® III 1st Strand cDNA Synthesis Kit(gDNA digester plus) |
11139ES |
|
定量PCR |
Hieff® miRNA Universal qPCR SYBR Master Mix |
11170ES |
[1] Shang R, Lee S, Senavirathne G, Lai EC. microRNAs in action: biogenesis, function and regulation. Nat Rev Genet. 2023;24(12):816-833. doi:10.1038/s41576-023-00611-y